Предмет: Алгебра,
автор: nb555
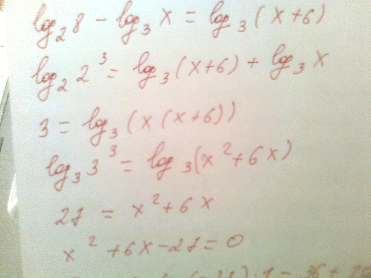
Найдите сумму корней (или корень,если он единственный) уравнения
log2 8-log3 X = log3 (X+6)
Ответы
Автор ответа:
0
Если что-то непонятно, то пишите С:
Приложения:
Похожие вопросы
Предмет: Математика,
автор: zajkenm
Предмет: Русский язык,
автор: zamilaborubekova
Предмет: Математика,
автор: fgajdk
Предмет: Алгебра,
автор: Катююююшкааа