Предмет: Алгебра,
автор: volkosash00
Докажите, что значение выражения (1
есть число рациональное.
Ответы
Автор ответа:
0
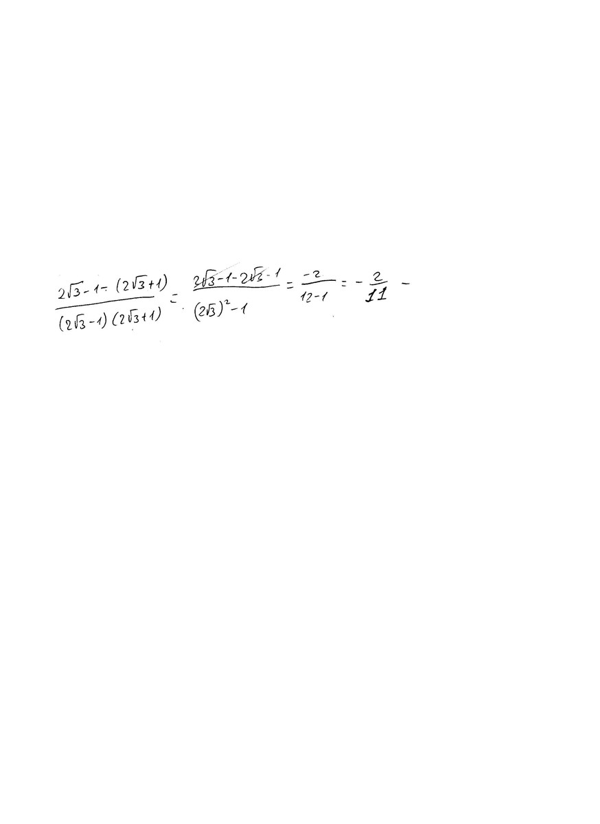
Приведем к общему знаменателю и получим
. Это число рациональное, так как можно представить в виде дроби, где знаменатель - натуральное число (в данном случае 11), а числитель - целое число (в данном случае -2)
Приложения:
Автор ответа:
0
Избавимся от иррациональности

Приложения:
Похожие вопросы
Предмет: Химия,
автор: ahabbabah
Предмет: Информатика,
автор: alextunika82
Предмет: Математика,
автор: isaimankulov25
Предмет: Литература,
автор: shelckanovanas
Предмет: Математика,
автор: angelok5583