Предмет: Алгебра,
автор: АнельИсабаеаа
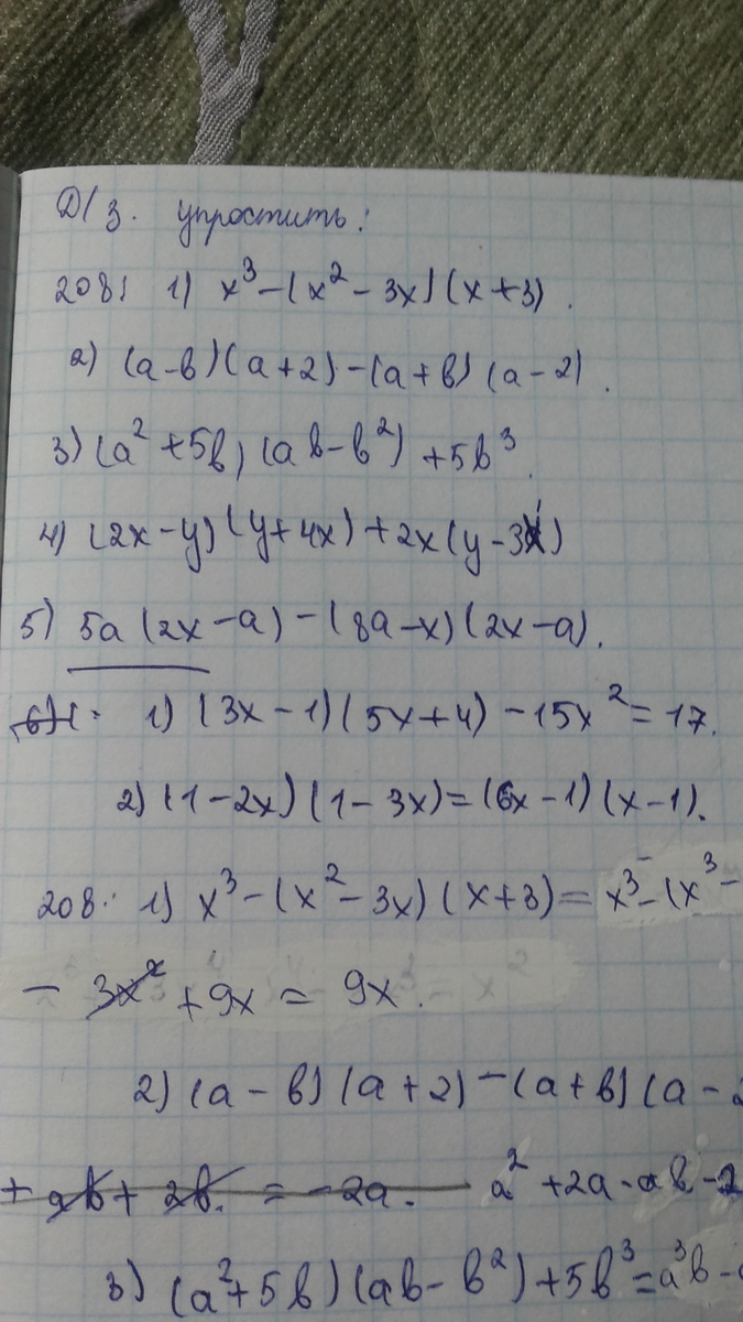
решите пожалуйста #1-2 и #2-1,2
Приложения:
Ответы
Автор ответа:
0
исходные не пишу, раскрываем скобки
а²+2а-ав-2в-а²-ав+2а+2в=2а-2ав=2а(1-в)
15х²-5х+12х-4-15х²=17
7х=21
х=3
1-2х-3х+6х²=6х²-х-6х+1
-5х+7х=0
2х=0
х=0
Накарякано у тебя так, что не поймешь, где - что! Может, я вообще не то решал!
а²+2а-ав-2в-а²-ав+2а+2в=2а-2ав=2а(1-в)
15х²-5х+12х-4-15х²=17
7х=21
х=3
1-2х-3х+6х²=6х²-х-6х+1
-5х+7х=0
2х=0
х=0
Накарякано у тебя так, что не поймешь, где - что! Может, я вообще не то решал!
Автор ответа:
0
прости
Автор ответа:
0
так то или не то решал-то?
Автор ответа:
0
спасибо,то)
Автор ответа:
0
Пожалуйста!
Похожие вопросы
Предмет: Русский язык,
автор: Аноним
Предмет: Геометрия,
автор: nikklaud
Предмет: Литература,
автор: vasiliypechkin1986
Предмет: Математика,
автор: 12345678910123456701
Предмет: Математика,
автор: сержик4197