Предмет: Алгебра,
автор: чурка222
Не пойму как начать, помогите пожалуйста
Приложения:
Ответы
Автор ответа:
0
Раскройте скобки сначала
Автор ответа:
0
Как?
Просто умножив на правую дробь?
Просто умножив на правую дробь?
Автор ответа:
0
в принципе можно поменять местами то, что стоит последнее поставить вперед
Автор ответа:
0
Безумные умения
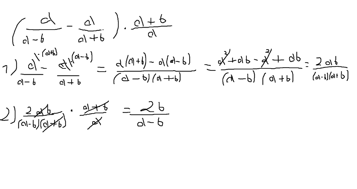
как то так
как то так
Приложения:
Похожие вопросы
Предмет: Математика,
автор: Аноним
Предмет: Физика,
автор: chessegame0
Предмет: Русский язык,
автор: alinababaskina12
Предмет: Математика,
автор: димитровград2014
Предмет: Обществознание,
автор: demingenia