Предмет: Математика,
автор: Demalena
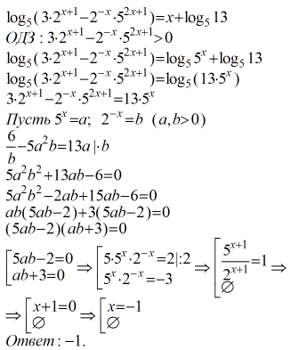
Найдите сумму всех корней уравнения log5(3⋅2^(x+1)−2^(−x)⋅5^(2x+1))=x+log5 13.
Ответы
Автор ответа:
2
Решение смотрите в приложении
Приложения:
Похожие вопросы
Предмет: Английский язык,
автор: Molina121212
Предмет: Другие предметы,
автор: татьяна953
Предмет: Українська мова,
автор: lizaborodina333
Предмет: Русский язык,
автор: farhat200037