Предмет: Геометрия,
автор: marinaaa2
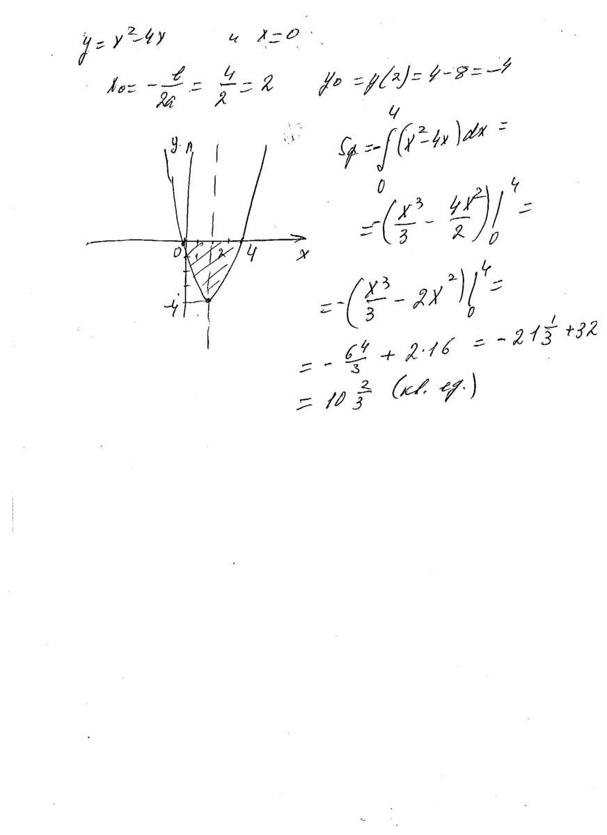
вычислить площадь фигуры,ограниченной графиками функций:у=х^2-4х и х=0
Ответы
Автор ответа:
1
Минус перед интегралом ставится , потому что подинтегральная функция расположена под осью ОХ
Приложения:
Похожие вопросы
Предмет: Английский язык,
автор: жанель112
Предмет: Қазақ тiлi,
автор: prostojemali
Предмет: Українська мова,
автор: Latiflatif
Предмет: Алгебра,
автор: dikrv17
Предмет: Русский язык,
автор: nastya13447