Предмет: Математика, автор: sind98

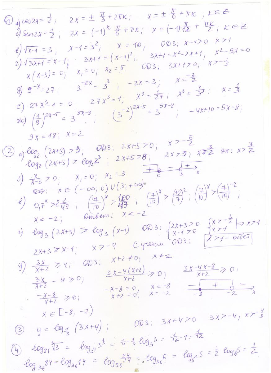
Помогите пожалуйста с алгеброй, это первый курс колледжа, экзамен в 9:00. Умоляю помогите, и с геометрией тоже, пожалуйста

Приложения:

Ответы

Автор ответа: alfabetta
1
смотри приложенный файл
Приложения:

sind98: огромное спасибо)
Похожие вопросы
Предмет: Русский язык, автор: КириллГерасимов2006
Предмет: Русский язык, автор: Pewee7664
Выразительно прочитайте отрывки. Найдите наречия и определите, какую роль они играют в художественном описании.
1)Ярко светит зорька.
В небе голубом,
Тихо всходит солнце.
Над большим селом
2)Снежная замять дробится и колется,
Сверху озябшая светит луна.
Снова я вижу родную околицу,
Через метель огонек у окна.
3)Слеза тихо круглилась на его зенице, и поседевшая голова его уныло понурилась. 4)Бедная старушка, привыкшая уже к таким поступкам своего мужа, печально глядела, сидя на лавке. 5)Обрываясь крутыми уступами с прибрежных высот, к самому морю хмуро надвинулся дремучий лес.Ветер кренит стройные ели, качая их острыми верхушками и осыпая пушистый снег с печально поникших зеленых ветвей.Бесследно проходят седые века, а дремучий лес стоит спокойно, сумрачно.
2. Выпишите из текстов наречия, образованные суффиксальным способом.Разберите их по составу. Укажите разряд наречий.
3.Выпишите наречия,образованные приставочно-суффиксальным способом.
4. Проведите морфологический разбор: Сверху, Бесследно !
Предмет: Английский язык, автор: evashatilo16
Предмет: Математика, автор: jdjdkdjek