Предмет: Алгебра,
автор: 10alexandr97
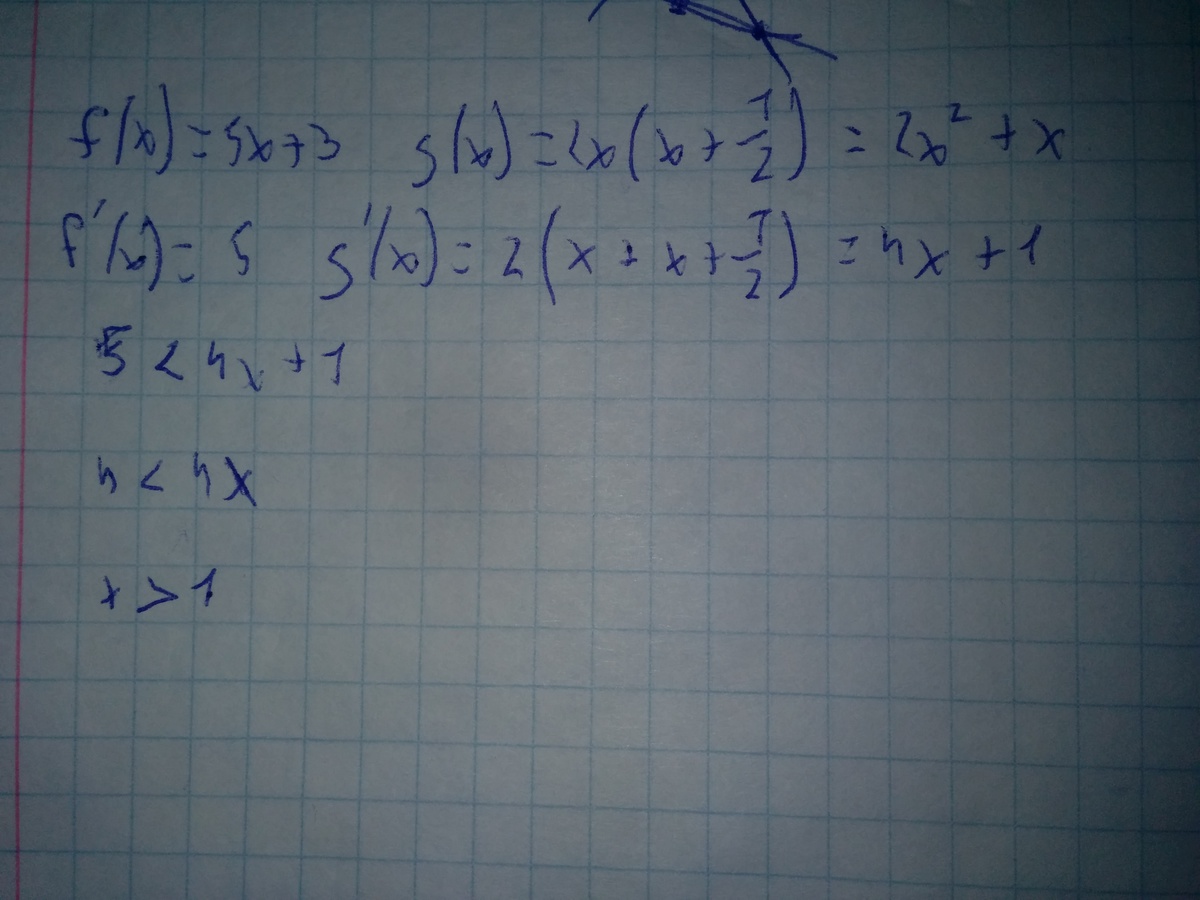
решить неравенства f ' (x) < g ' (x) если f(x)=5x+3 g(x)=2x*(x+1/2)
Ответы
Автор ответа:
1
типа такого?
......................................
......................................
Приложения:
Автор ответа:
3
Ответ: (1; + ∞)
mrgeneroth:
боюсь что здесь g' есть производная для функции 2x / (x + 1/2), а не для 2x * (x + 1/2)
да, я уже увидела и исправила, спасибо )))
)))
Похожие вопросы
Предмет: Русский язык,
автор: Велла1
Предмет: Русский язык,
автор: Anekatoleutai
Предмет: Русский язык,
автор: imbecileHeeh
Предмет: Геометрия,
автор: Igoryajo
Предмет: Математика,
автор: Lizka4Volchica