Предмет: Алгебра,
автор: Kipriot
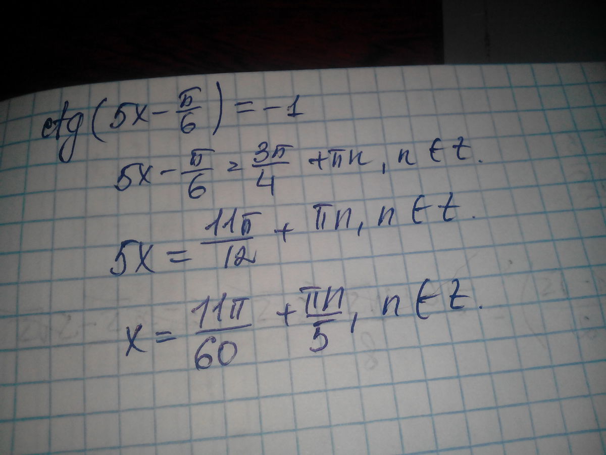
ctg(5x-pi/6)=-1 Решите
Ответы
Автор ответа:
4
решение смотрите на фото……..
Приложения:
Автор ответа:
0
5x-Pi/6=3Pi/4+Pin,n э Z
5x=11Pi/12+Pi n,n э Z
x=11Pi/60+Pi n/5,n э Z
5x=11Pi/12+Pi n,n э Z
x=11Pi/60+Pi n/5,n э Z
Похожие вопросы
Предмет: Другие предметы,
автор: Yukinara
Предмет: Окружающий мир,
автор: Аноним
Предмет: Русский язык,
автор: ekaterinalajk21
Предмет: Українська мова,
автор: KsenyaKt
Предмет: Математика,
автор: smbatand