Предмет: Математика, автор: artemggjhgg

Помогите срочно сделать модуль по высшей математике

Приложения:

Ответы

Автор ответа: Obosrashka69
0
раскрываешь сначало по х, вместо х ставишь цифры в конце, получаешь матрицу 3 на 3, затем вместо y и z

artemggjhgg: Друг можешь написать в ответе уже решение ?Сделаю тебе спасибо 10 раз )
M0RDOK: Дык тут сразу в матрицу 3х4 записать и найти методом Гаусса. Парню само решение надо
artemggjhgg: Ребят помогите завтра сдавать !!!
M0RDOK: Уже пишу
artemggjhgg: Спасибо )Жду
Автор ответа: M0RDOK
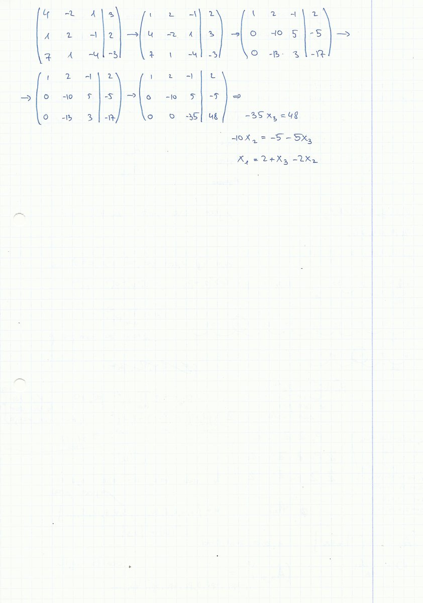
1
Решение в приложении. Метод Гаусса требует диагональной формы но! На практике достаточно привести к треугольной и просто подставить значения. Чисто субъективно - быстрее решить уравнения, чем решить уравнения и записать их в матричном виде :)
Приложения:

artemggjhgg: Спасибо сейчас буду пробовать )
artemggjhgg: Удачи тебе друг)
M0RDOK: Только что проверил - у меня ошибка где-то в подсчётах, в итоге третяя строка дожна быть (0 0 1|3) => x(3)=3
M0RDOK: Взаимно )
artemggjhgg: Учту )
M0RDOK: По сути - главное принцип понять, а арифметика - дело десятое )) Принцип в том, что если матрица А регулярна - значит для неё есть обратная, и всего одно решение уравнения Ax=B. Решение: x=(A^-1)B. Если матрица сингулярна - значит решений много
artemggjhgg: Золотые слова)
Похожие вопросы
Предмет: Английский язык, автор: PinkPony11
Предмет: Немецкий язык, автор: mayechkaosina
Предмет: Английский язык, автор: eva1513