Предмет: Алгебра,
автор: visagekwn
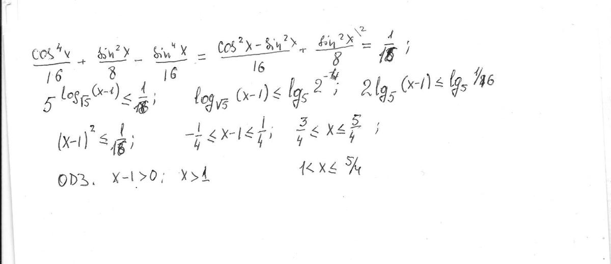
Найти наибольшее целое решение неравенства
5^log √5 от (x-1) <=(cos^4x):16 +(sin^2x):8-(sin^4x):16
Ответы
Автор ответа:
1
ответ в файле..............................
Приложения:
Похожие вопросы
Предмет: Русский язык,
автор: sweet200610
Предмет: Русский язык,
автор: никакикотикокмт
Предмет: Английский язык,
автор: CosmoTitan
Предмет: Геометрия,
автор: nuruev15
Предмет: Математика,
автор: Аноним