Предмет: Математика,
автор: Ireliuy
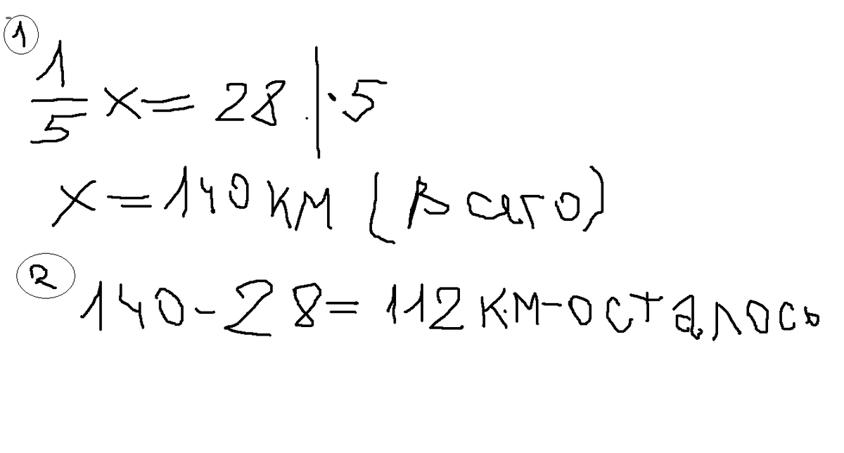
Туристы прошли 1/5 часть маршрута,что составило 28 км.Сколько км им ещё осталось пройти?
Ответы
Автор ответа:
0
28*5/1=140 км весь путь
140-28= 112 км осталось пройти
Автор ответа:
0
смотри..........................
Приложения:
Похожие вопросы
Предмет: Алгебра,
автор: zheleznovamashenka18
Предмет: Математика,
автор: lada31071973
Предмет: Физика,
автор: kareyka13
Предмет: Геометрия,
автор: student29