Предмет: Физика, автор: Bleyk

Помогите, пожалуйста! Срочно!

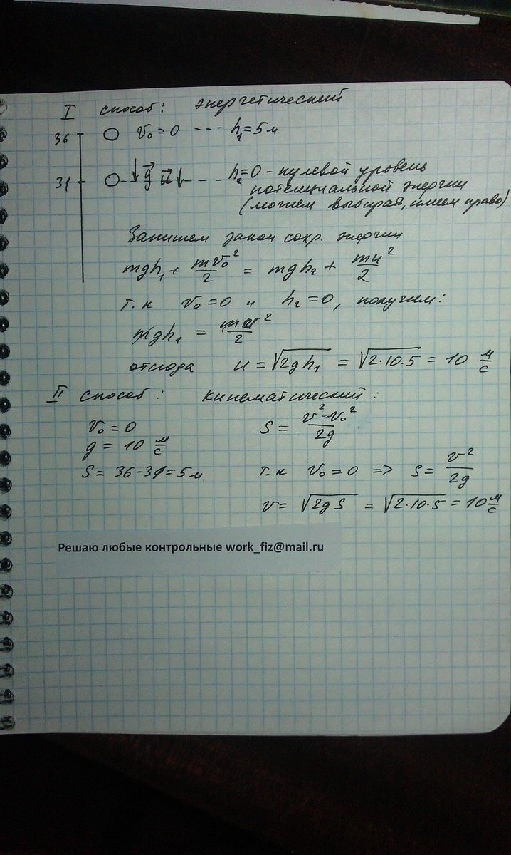
Оторвавшись от крыши сосулька падает с высоты h0 = 36 м от земли. Какую скорость U она будет иметь на высоте h = 31 м? (Представте 2 способа решения: с применением закона сохранения механической энергии и без него; g = 10 м/с²).

Шарик вылетает из детского пружинного пистолета вертикально вверх с начальной скоростью U0 = 5 м/с. На какую высоту от места вылета он поднимется? (Представте 2 способа решения: с применение закона сохранения механической энергии и без него; g = 10 м/с²).

Ответы

Автор ответа: larchik1973
0

Решение в приложенном файле. 2 задача решается аналогично первой

Приложения:
Похожие вопросы
Предмет: Физика, автор: NANASHKO665
1. К понятию «физическое тело» относятся…

А) снег; Б) снегопад; В) минута; Г) будильник; Д) время.

2. Примерами механических явлений являются…

А) движение автомобиля; Б) кипение воды; В) раскаты грома;

Г) сверкание молнии; Д) окисление железа.

3. Перевести 125 см в систему СИ:

А) 12,5 м; Б) 1,25 м; В) 0,125 м; Г) 12,5 дм; Д) 1250 мм.

4. Одинаковы ли молекулы льда, воды, водяного пара?

А) одинаковы Б) одинаковы только для льда и воды

В) не одинаковы; Г) только воды и пара; Д) только пара и льда

5. Диффузия относится к понятию…

А) физическое тело; Б) физическая величина; В) физическое явление;

Г) вещество; Д) единица измерения физической величины.

6. Примерами аморфных твердых тел являются…

А) алмаз; Б) сахар; В) соль; Г) кварц; Д) янтарь.

7. Лед растопили, а часть полученной воды испарили. При этом молекулы…

А) увеличивались; Б) уменьшались; В) оставались прежними;

Г) исчезали; Д) превращались в атомы.



Часть В




8. Определите цену деления шкалы мензурки (рис). Укажите предел измерения. В мензурку была налита вода до уровня А. После погружения цилиндра в мензурку, вода поднялась до уровня В. Определите объем цилиндра.

9. Преобразуйте числа

а) Запиши число в стандартном виде:

Диаметр Солнца 1390000000м

б) Запиши число в обычном виде

Инфузория-туфелька составляет 2⋅10-4м

10. Решите качественную задачу

(ответить на вопрос, основываясь на физических законах)

Можно ли сказать, что объем газа в сосуде равен сумме объемов его молекул? Поясните ответ.



Часть С




Решите задачу

11. Какой из двух измерительных линеек, с большей или меньшей ценой деления, можно более точно измерить длину? Почему?
Предмет: Литература, автор: egorbar1976
Всем здравствуйте! Помогите пожалуйста! Русская Литература. Заранее, огромное спасибо!


Сегодня мы продолжаем работать над рассказом В. Астафьева «Фотография, на
которой меня нет».
Во все времена в любой части света очень ценили учителей и их неизмеримый
вклад в развитие общества. Слово "учитель" всегда произносилось почтительно, а к
самому человеку зачастую обращались с благоговением, ведь учитель — это не тот
человек, который, будучи образованным, общается исключительно с интеллигенцией, а
тот, кто даёт такую возможность каждому, вне зависимости от его происхождения, места
рождения и благосостояния.
Безусловно, одним из главных героев в автобиографическом рассказе В.П. Астафьева
"Фотография, на которой меня нет" является школьный учитель, Евгений
Николаевич. Именно он внёс существенный вклад в улучшение уровня жизни в одной из
сибирских деревушек. Внешний вид учителя описывается очень коротко, отдельно
взятыми деталями: "лицо малоприметное", "глаза немного печальные и оттого
необыкновенно добрые", "приветливая улыбка", "причёска под «политику»", "да
уши торчали, как у Саньки". Вероятно, таким способом автор хотел акцентировать
внимание читателя на внутреннем мире Евгения Николаевича. Учитель относится ко всем
одинаково, не классифицируя людей по каким-либо признакам. Он, как и его жена-
учительница, уважительно общается как со стариками, так и с маленькими детьми, что
демонстрируется в строках "поклонился дому, бабушке", "... и он слушал нас
внимательно, хвалил, благодарил даже". Семья учителя была не богаче большинства
деревенских, но всегда получала помощь от односельчан. И, как правило, помощь эта
была молчаливой, как бы невзначай. То продуктов "забудут", то воду донести помогут, то
ребёнка полечат, то ещё что-нибудь приятное организуют. Ученикам своим он старался
дать наибольшее количество знаний. Благодаря его усилиям в школе появились
"карандаши, тетради, краски вроде пуговиц, приклеенные к картонкам, переводные
картинки". Когда же весь этот инвентарь истратился, Евгений Николаевич стал водить
своих учеников по лесу, рассказывая обо всём, что попадалось на пути. Своё отношение к
учителю автор раскрывает в словах "Но фамилию учителя можно и забыть, важно,
чтоб осталось слово «учитель»!". В памяти Виктора Астафьева учитель остался
дружелюбным, добрым и, несмотря на свой возраст, умудрённым опытом человеком.
3. Работа над раскрытием образов учителей из рассказа «Фотография, на которой
меня нет».
 Письменно ответь на вопросы:
1.Как ты думаешь, почему у учителей одинаковые имена – Евгений Николаевич и Евгения
Николаевна? Раскрой символику их имени. Соответствует ли она образу учителей?
2.Составь внешний портрет учителя – его облик, возраст, манеру поведения. Для своего
ответа привлеки примеры из текста. По итогам своих наблюдений заполни таблицу: (таблица в прикрепленных)



3.Почему учителя пользовались большим уважением среди жителей села?
4.Вспомни приход учителя к больному Вите. Проанализируй, как меняется речь бабушки,
какой становится ее интонация, когда в ее дом входит Евгений Николаевич.
Проиллюстрируй примерами свой ответ.
5.Как характеризует эпизод со змеей школьного учителя? Какие черты его характера
раскрывает? Переживают ли дети за своего учителя? Ответ аргументируй.
6.Когда учитель Евгений Николаевич проводит уроки в лесу, он рассказывает ученикам
про окружающую природу. Ребята, истинные жители тайги, в свою очередь учат
городского жителя, как «различать по голосам птичек, зверьков и, если он заблудится в
лесу, как выбраться оттуда, в особенности как спасаться от лесного пожара, как
выйти из страшного таежного огня». Говорит ли это о детской искренности и заботе об
учителе?