Предмет: Алгебра,
автор: 1Ксю4
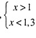
Решите систему уравнений.
Приложения:
Ответы
Автор ответа:
0
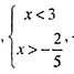
Получайте,вот,смотрите:
Приложения:
Автор ответа:
0
Вот спасибо))А ещё одни сделаете(я их раньше прислала) цены вам не будет!!
Автор ответа:
0
ахах,да ладно вам,это минута делов)
Автор ответа:
0
но всё равно спасибо=)
Похожие вопросы
Предмет: Английский язык,
автор: kamamachabehen10
Предмет: Қазақ тiлi,
автор: aabdrahmanova51
Предмет: Физика,
автор: meshavkina04
Предмет: Алгебра,
автор: 12345678900987654о
Предмет: Алгебра,
автор: suhovandre