Предмет: Алгебра,
автор: 12345678900987654о
выполните действия:
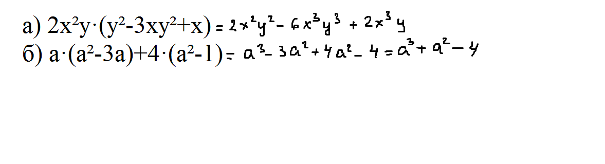
а) 2х²у·(у²-3ху²+х)
б) а·(а²-3а)+4·(а²-1)
Помогите !
Ответы
Автор ответа:
0
Если понравилось решение - нажимай "спасибо" и "лучший" (рядом с кнопкой "спасибо") :)
Приложения:
Похожие вопросы
Предмет: Қазақ тiлi,
автор: marianarahimova91
Предмет: Биология,
автор: medeuabzhanov20
Предмет: Литература,
автор: askarus31012010
Предмет: Математика,
автор: Масья
Предмет: Биология,
автор: Xeniya2013