Предмет: Алгебра,
автор: Анька565
Очень нужна помощь!!!
Приложения:
Ответы
Автор ответа:
0
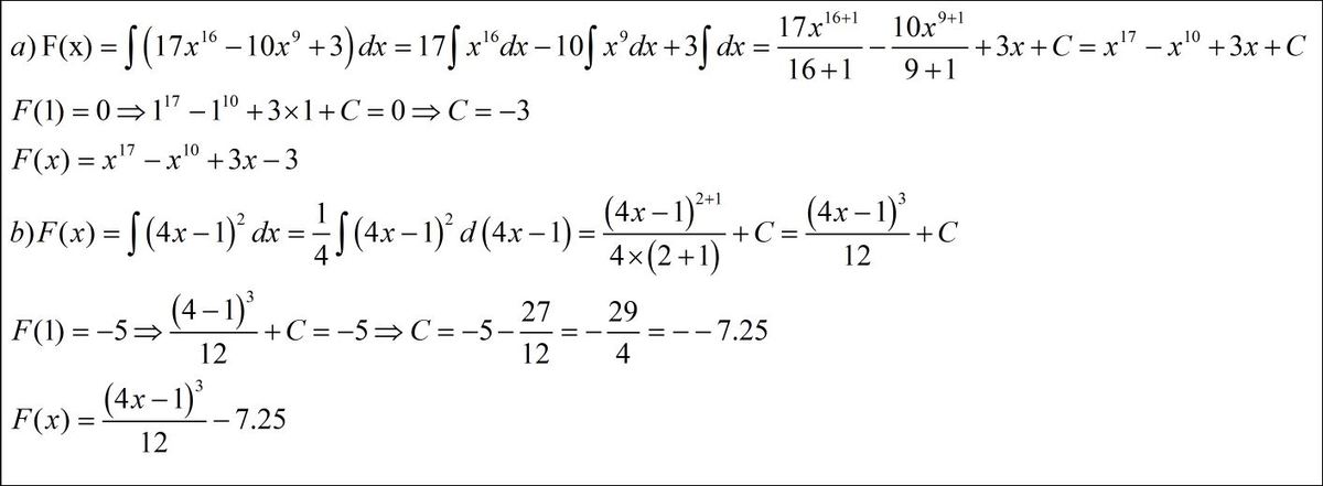
решение смотри во вложении.................................
Приложения:
Похожие вопросы
Предмет: Геометрия,
автор: abramowa2007
Предмет: Биология,
автор: katehello19
Предмет: Биология,
автор: katehello19
Предмет: Литература,
автор: Denchikh
Предмет: Алгебра,
автор: Александр19981