Предмет: Алгебра,
автор: Sonyaqw123erty
Помогите!!Пожалуйста))
Приложения:
Ответы
Автор ответа:
0
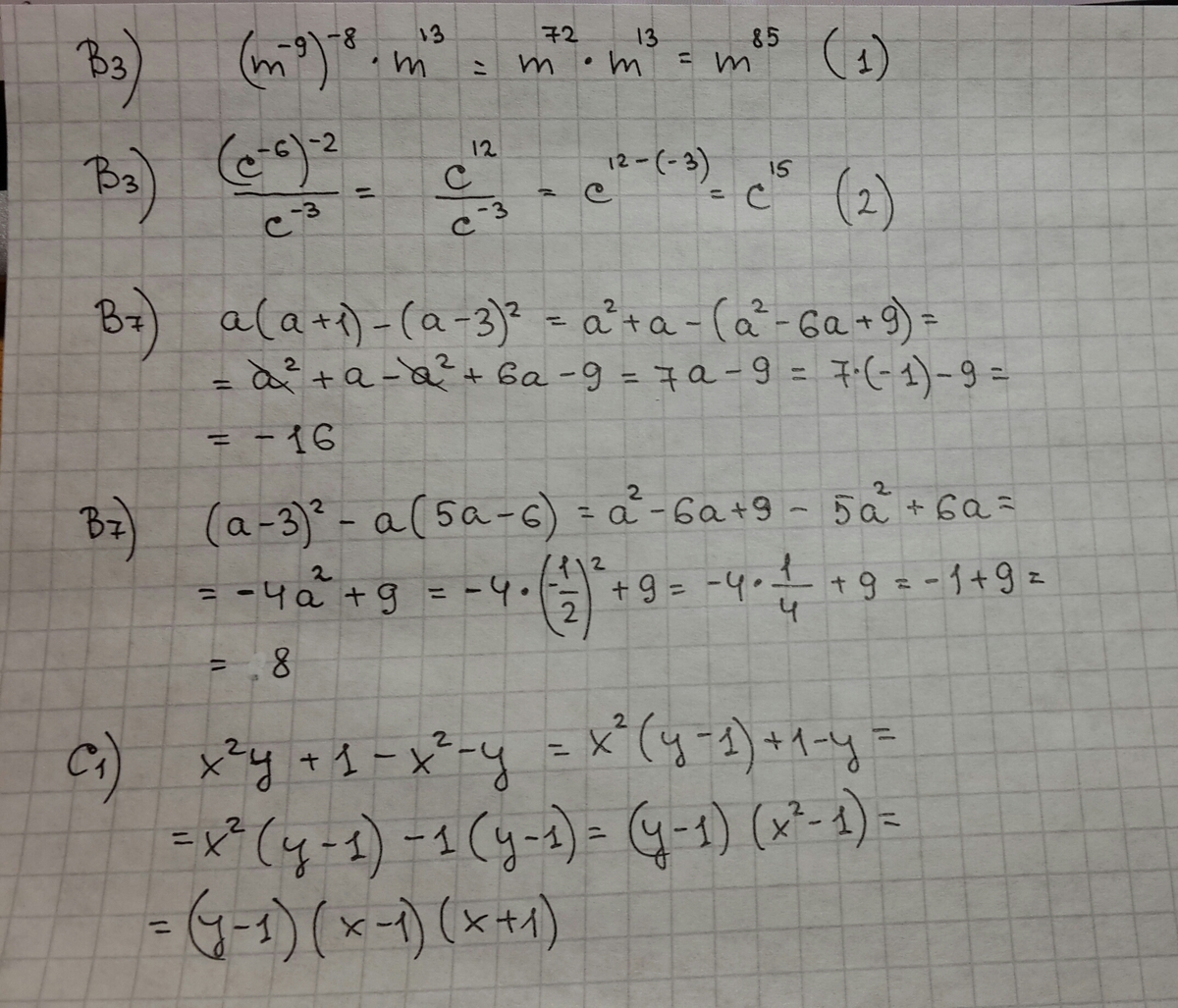
Решение на фото) лови
Приложения:
Автор ответа:
0
=м^85
$$$$$$$$$
=с^15
$$$$$$$$$
=а^2+а-а^2+6а-9=7а-9=7×(-1)-9=-16
$$$$$$$$$$$
=а^2-6а+9-5а^2+6а=-4а^2+9=-4×(-1/2)^2+9=
=-4×1/4+9=-1+9=8
$$$$$$$$$$$$$
=(х^2у-х^2)-(у-1)=х^2(у-1)-1(у-1)=(у-1)(х^2-1)
$$$$$$$$$
=с^15
$$$$$$$$$
=а^2+а-а^2+6а-9=7а-9=7×(-1)-9=-16
$$$$$$$$$$$
=а^2-6а+9-5а^2+6а=-4а^2+9=-4×(-1/2)^2+9=
=-4×1/4+9=-1+9=8
$$$$$$$$$$$$$
=(х^2у-х^2)-(у-1)=х^2(у-1)-1(у-1)=(у-1)(х^2-1)
Приложения:
Похожие вопросы
Предмет: Математика,
автор: sdduy4ik
Предмет: Математика,
автор: BogdanEKS
Предмет: Химия,
автор: khamlov2001
Предмет: Алгебра,
автор: dellmisha
Предмет: Литература,
автор: Redgina