Предмет: Алгебра, автор: 12345678911111111111

Помогите!!!!!
Упростите данные выражения :
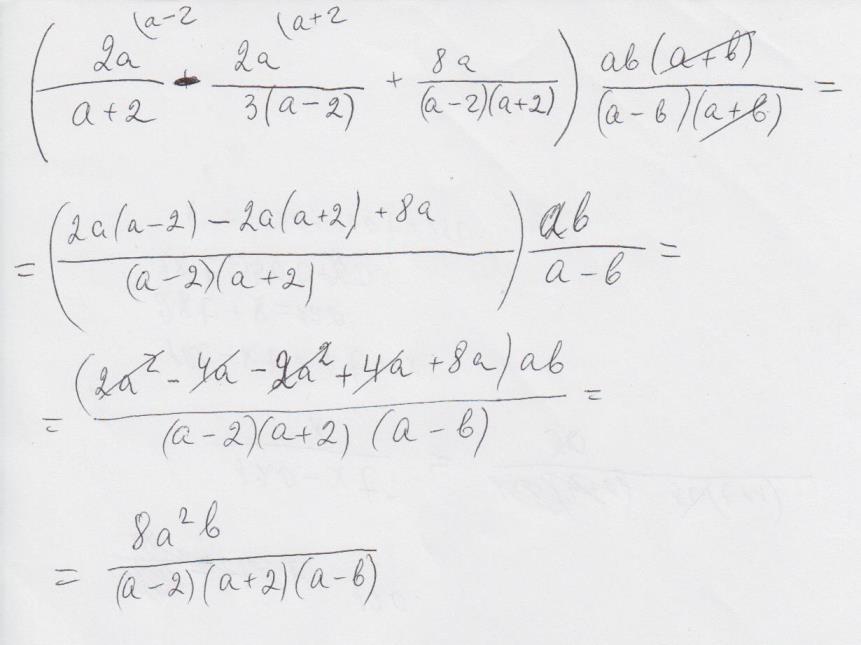
( frac{2a}{a+2} + frac{2a}{6-3a} + frac{8a}{ a^{2} -4} )* frac{ a^{2}b+ ab^{2}  }{ a^{2}- b^{2}  }

Ответы

Автор ответа: belcatya
0
решение в приложении
Приложения:
Автор ответа: Kseniya05
0
Что за приложение???
Автор ответа: belcatya
0
рисунок под ответом
Похожие вопросы
Предмет: Биология, автор: Аноним
Предмет: Математика, автор: married