Предмет: Алгебра,
автор: KatyaKatyshka98
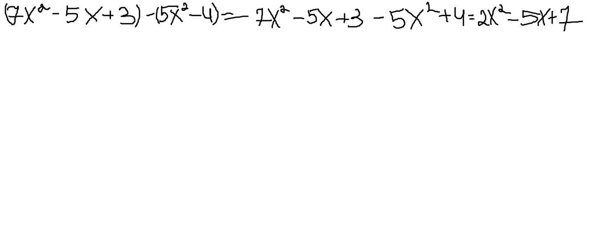
упростите выражение (7х^2-5х+3)-(5х^2-4)
Ответы
Автор ответа:
0
Решение и ответ прикреплены
Приложения:
Похожие вопросы
Предмет: Математика,
автор: Аноним
Предмет: Алгебра,
автор: viktoriamirnaa437
Предмет: Информатика,
автор: alinagumenyuk07
Предмет: Математика,
автор: yuliybob