Предмет: Алгебра,
автор: 4RRRTD
x^2-4x-7=0
x1^2 + x2^2 = ?
Понятно,что x1+x2=4,как вычислить x1^2 + x2^2?
Ответы
Автор ответа:
0
1x^2 - 4x - 7 = 0;
D = b^2 - 4ac;
D = -4^2 - 4 * 1 * (-7);
D = 16 + 28 = 44;
D > 0, два корня!
x1,2 = (-b ± √D)/2a;
x1:x = (4 + 6)/2*1;
x = 10/2;
x = 5;
x2:x = (4 - 6)/2*1;
x = -2/2;
x = -1;
ПОТОМ БЕРЕМ Х1
х1 = 5
х1^2 = 5*5 = 25
x2 = -1
x2^2 = -1 * -1 = 1
В ИТОГЕ ПОЛУЧАЕМ
25 + 1 = 26
D = b^2 - 4ac;
D = -4^2 - 4 * 1 * (-7);
D = 16 + 28 = 44;
D > 0, два корня!
x1,2 = (-b ± √D)/2a;
x1:x = (4 + 6)/2*1;
x = 10/2;
x = 5;
x2:x = (4 - 6)/2*1;
x = -2/2;
x = -1;
ПОТОМ БЕРЕМ Х1
х1 = 5
х1^2 = 5*5 = 25
x2 = -1
x2^2 = -1 * -1 = 1
В ИТОГЕ ПОЛУЧАЕМ
25 + 1 = 26
Автор ответа:
0
Возможно ли получить данные,не решая уравнение?
Автор ответа:
0
да, если ты про то что я тебе написал в письме
Автор ответа:
0
Очевидно, что Вы неправильно нашли корни данного уравнения. Используя теорему обратную теореме Виета, получим:
x₁ + x₂ = 5 - 1 = 4
x₁ × x₂ = 5 × (-1) = -5
x₁ + x₂ = 5 - 1 = 4
x₁ × x₂ = 5 × (-1) = -5
Автор ответа:
0
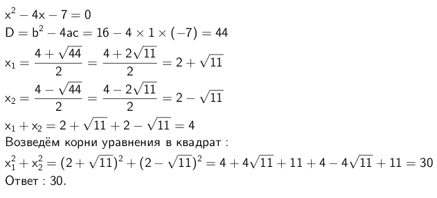
Смотрите решение в прикреплённом файле.
Приложения:
Похожие вопросы
Предмет: Право,
автор: Аноним
Предмет: Физика,
автор: sevaraismailova06
Предмет: География,
автор: kuzminasta0610
Предмет: Математика,
автор: Anett05
Предмет: Физика,
автор: winxclub1