Предмет: Алгебра,
автор: 79651505748
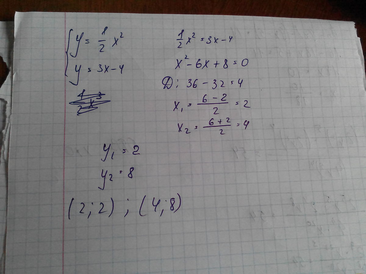
Не выполняя построение , найдите координаты точек пересечения параболы у=1/2х*2 и прямой у=3х-4
Ответы
Автор ответа:
0
вы немного не правильно написапли уравнение
решение здесь
решение здесь
Приложения:
Похожие вопросы
Предмет: История,
автор: sabinakurgambaeva009
Предмет: Физика,
автор: petrenkoanastasia201
Предмет: Математика,
автор: akpanova1234
Предмет: География,
автор: murach2
Предмет: Алгебра,
автор: Лана5Кот