Предмет: Математика,
автор: dfdg
решить по действиях Срочно очень ,очень!!!!Пожалуйста
Приложения:
Ответы
Автор ответа:
0
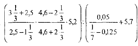
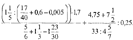
Переведем десятичные дроби в обыкновенные
0,6=6/10=3/5
0,005=5/1000=1/200
1,7=1 7/10 =17/10
1).17/40+3/5-1/200=85/200+120/200-1/200=204/200=51/50
2).1 1/5:51/50= 6/5:51/50=6*50 = 60/51
5*51
3).60/51*17/10=60*17/51*10 = 2
4).5/6+1 1/3- 1 23/30= 5/6+4/3-53/30=25/30+40/30-53/30=12/30=2/5
5).2:2/5=2*5/2 =5
6).4,75+7 1/2=475/100+15/2=19/4+15/2=19/4+30/4=49/4
7).33:4 5/7=33:33/7=33*7 = 7
33
8). 49/4:7=49/4*7=7/4
9).7/4:025=7/4:25/100=7/4:1/4=7*4/4=7
10)5+7=12
0,6=6/10=3/5
0,005=5/1000=1/200
1,7=1 7/10 =17/10
1).17/40+3/5-1/200=85/200+120/200-1/200=204/200=51/50
2).1 1/5:51/50= 6/5:51/50=6*50 = 60/51
5*51
3).60/51*17/10=60*17/51*10 = 2
4).5/6+1 1/3- 1 23/30= 5/6+4/3-53/30=25/30+40/30-53/30=12/30=2/5
5).2:2/5=2*5/2 =5
6).4,75+7 1/2=475/100+15/2=19/4+15/2=19/4+30/4=49/4
7).33:4 5/7=33:33/7=33*7 = 7
33
8). 49/4:7=49/4*7=7/4
9).7/4:025=7/4:25/100=7/4:1/4=7*4/4=7
10)5+7=12
Приложения:
Автор ответа:
0
в ответе должно быть целое число!
Автор ответа:
0
сейчас проверю
Автор ответа:
0
сейчас выправлю. нашла
Автор ответа:
0
должно быть 12
Похожие вопросы
Предмет: Литература,
автор: daniyarurustamov
Предмет: Математика,
автор: itisdetka
Предмет: Математика,
автор: assassasin715
Предмет: Математика,
автор: Хомяк26
Предмет: Физика,
автор: Adilya9911