Предмет: Алгебра, автор: Аноним

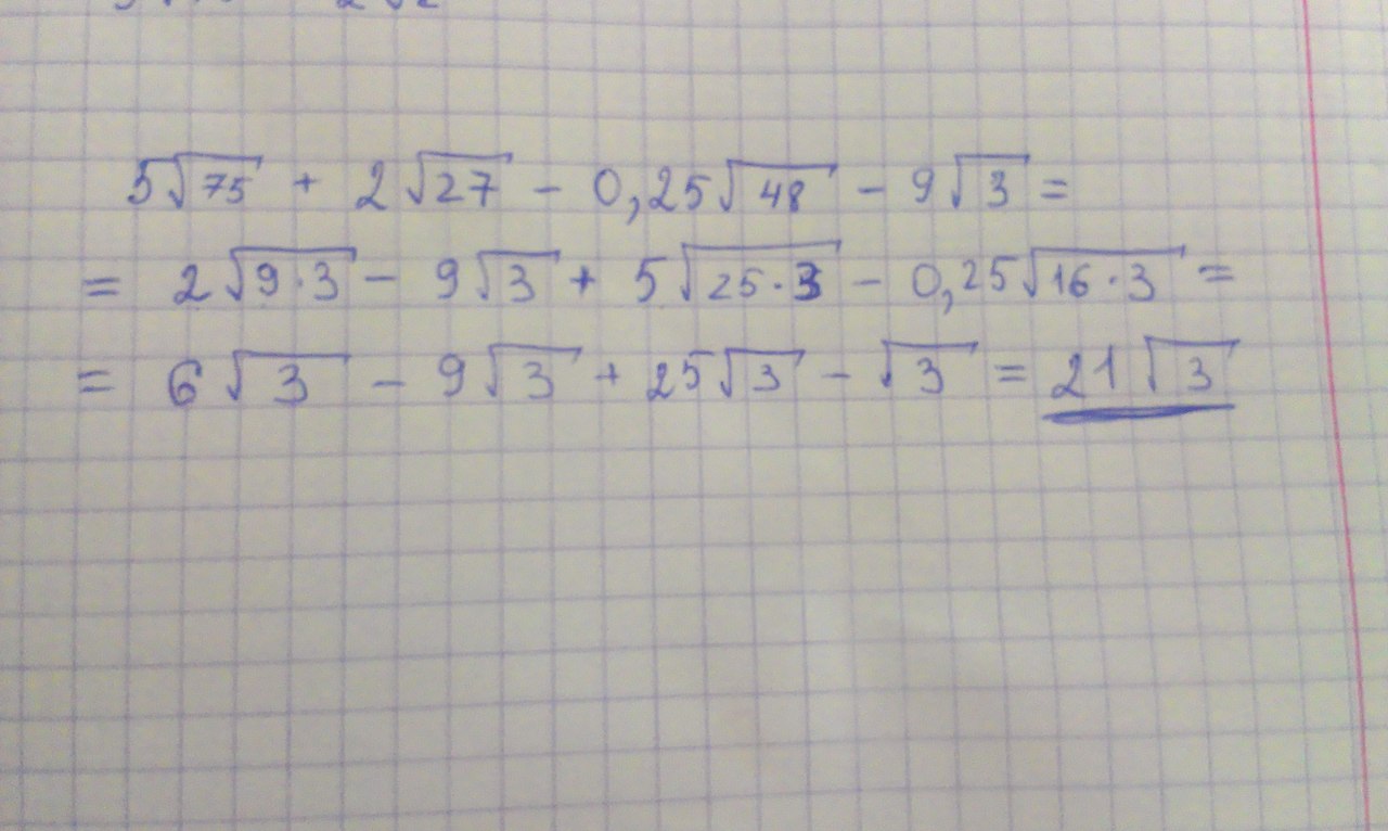
5корень75+2корень27-0,25корень48-9корень3. упростить выражение

Ответы

Автор ответа: Малинка2012
0

55sqrt{75}+2sqrt{27}-0,25sqrt{48}-9sqrt{3}=5sqrt{25*3}+2sqrt{3*9}-0,25sqrt{16*3}-9sqrt{3}=25sqrt{3}+6sqrt{3}-sqrt{3}-9sqrt{3}=21sqrt{3}

Автор ответа: linkinkin
0

  На бумаге приятнее все-таки ;)

 

Приложения:
Похожие вопросы
Предмет: Математика, автор: Аноним
Предмет: Биология, автор: ahmedovasaltanat46