Предмет: Физика,
автор: annaleo1996
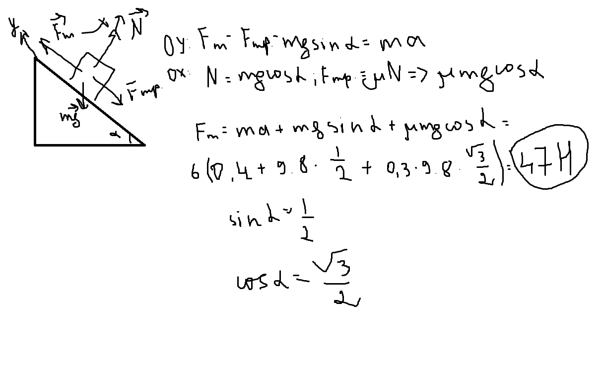
Какую силу необходимо приложить к телу массой 6 кг, чтобы оно перемещалось вверх по наклонной плоскости с ускорением 0,4 м/с2? Наклонная плоскость составляет с горизонтом угол 30°, а коэффициент трения равен 0,3.
Ответы
Автор ответа:
0
________________________________
Приложения:
Похожие вопросы
Предмет: Қазақ тiлi,
автор: vladimirmustafin85
Предмет: Геометрия,
автор: nargiza2018aa
Предмет: Қазақ тiлi,
автор: Poli201921
Предмет: Математика,
автор: kbpf62