Предмет: Математика,
автор: dfdg
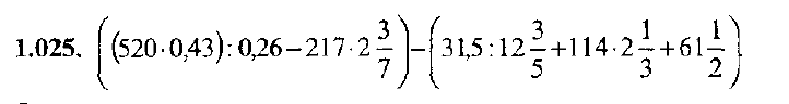
помогите пожалуйста очень срочно .Решить по действиях примеры.
( мне нужно по действиях1) 2) и.тд) ОБЯЗАТЕЛЬНО ПОДЕЙСТВИЯХ!
Приложения:
Ответы
Автор ответа:
0
Решение примера........
Приложения:
Автор ответа:
0
без калькулятора не разберёшься, а ты головой подумай..)))
Автор ответа:
0
и где здесь видно калькулятор??? это вордовский документ, грамотей
Автор ответа:
0
какая разница как? главное решение предоставлено.
Автор ответа:
0
1) 0,725+0,6=1,325=1 325/1000 (одна целая 325-тысячных)
2) 7/40+22/40=29/40 (для дальнейшего использования умножаем эту дробь на 25 и получаем 725/1000)
3) 1 325/1000 + 725/1000 = 2050/1000 (или 2 целых 5-сотых)
4) 0,128 х 25/4=128/1000 х 25/4 = 32/40 (или 320/400 для дальнейшего...)
5) 0,0345:3/25= 345/10000 х 25/3 = 115/400
6) 320/400 - 115/400 = 205/400
7) 2 5/100 (из п.3) : 205/400 = 205/100 х 400/205 = 4
8) 4 х 0,25 = 1
Ответ: единица
2) 7/40+22/40=29/40 (для дальнейшего использования умножаем эту дробь на 25 и получаем 725/1000)
3) 1 325/1000 + 725/1000 = 2050/1000 (или 2 целых 5-сотых)
4) 0,128 х 25/4=128/1000 х 25/4 = 32/40 (или 320/400 для дальнейшего...)
5) 0,0345:3/25= 345/10000 х 25/3 = 115/400
6) 320/400 - 115/400 = 205/400
7) 2 5/100 (из п.3) : 205/400 = 205/100 х 400/205 = 4
8) 4 х 0,25 = 1
Ответ: единица
Приложения:
Похожие вопросы
Предмет: Физика,
автор: qwerty6076
Предмет: Русский язык,
автор: Аноним
Предмет: Химия,
автор: dmitryig99
Предмет: Химия,
автор: volyanuknastya