Предмет: Алгебра,
автор: daaaaagf
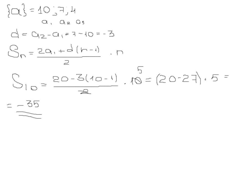
Дана арифметическая прогрессия 10,7,4... Найдите сумму первых десяти её членов. Заранее огромной спасибо.
Ответы
Автор ответа:
0
---------------------------------------
Приложения:
Похожие вопросы
Предмет: Математика,
автор: sso1713567
Предмет: Русский язык,
автор: polinaadodina
Предмет: Русский язык,
автор: zarifaibodulloyeva01
Предмет: Математика,
автор: 55555888
Предмет: Математика,
автор: IlyaVagner02