Предмет: Алгебра,
автор: 12141418
упростите выражение:
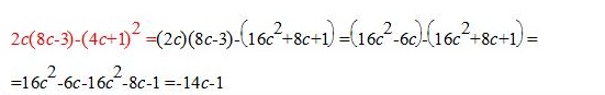
2с(8с-3)-(4с 1)во второй степени=
(х 2)во второй степени умножить (х-2)во второй степени -х в четвертой степени 16=
Ответы
Автор ответа:
0
=========================================
Приложения:
Похожие вопросы
Предмет: Математика,
автор: leonchikovapolina
Предмет: Математика,
автор: nastiast61
Предмет: Экономика,
автор: lzmikhailova69
Предмет: Обществознание,
автор: darkside74