Предмет: Алгебра,
автор: solarFleur
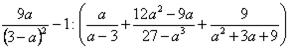
Упростите выражение, пожааааааааааааалуйста
Приложения:
Ответы
Автор ответа:
0
решение смотри на фотографии
Приложения:
Похожие вопросы
Предмет: Математика,
автор: koljalypchak6
Предмет: Русский язык,
автор: animdee78gmailcom
Предмет: Английский язык,
автор: katyayagupova
Предмет: Физика,
автор: progresssive
Предмет: Геометрия,
автор: nastya721