Предмет: Физика,
автор: 98ksy
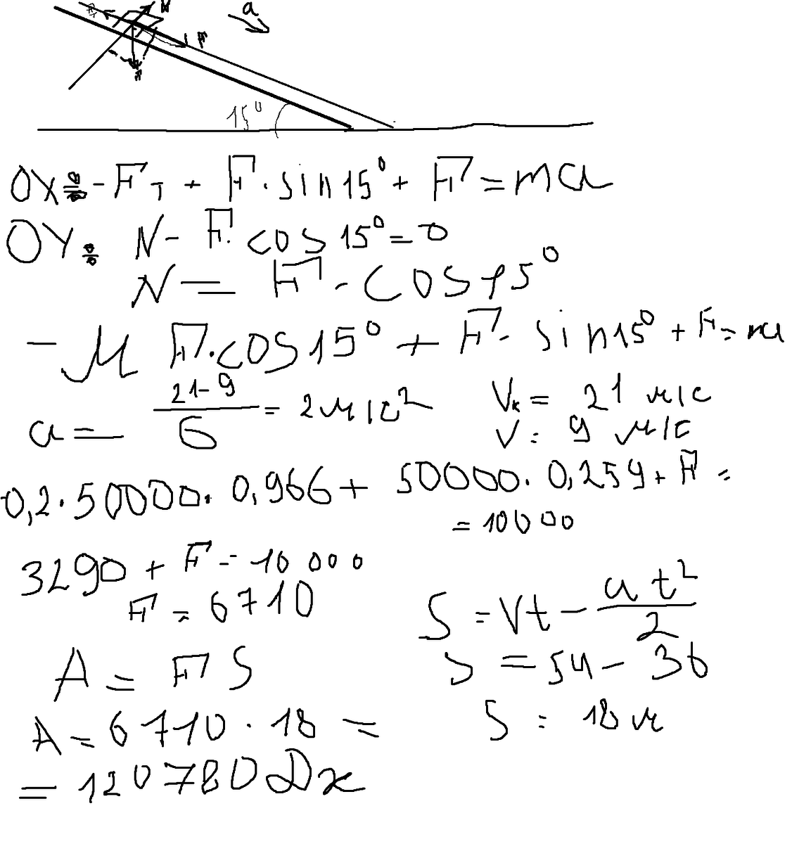
Автомобиль массой 5 т едет с горы, угол наклона которой 15°. Коэфициент трения 0,2. За 6 с скорость автомобиля возросла от 32,4 км/ч до 75,6 км/ч. Какую работу совершает двигатель автомобиля при этом спуске?
Ответы
Автор ответа:
0
,,,,,,,,,,,,,,,,,,,,,,,,,,,,,,,,,,,,,,,,,,,,,,,,,,,,
Приложения:
Похожие вопросы
Предмет: Алгебра,
автор: 789asty2007
Предмет: Геометрия,
автор: vika85102
Предмет: Физика,
автор: Аноним
Предмет: Химия,
автор: шпаргалка1
Предмет: Литература,
автор: 051104