Предмет: Алгебра,
автор: КсенияПет
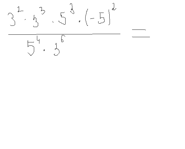
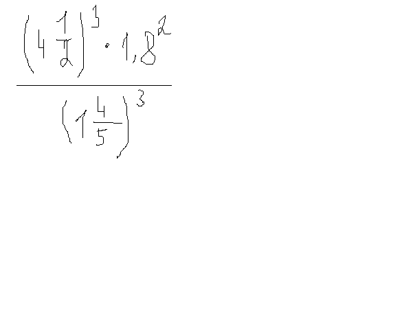
Найдите значение выражения и запишите ответ в виде десятичной дроби:
А под второй картинкой до решать нужно
Приложения:
Ответы
Автор ответа:
0
во 2-ом получится 0,36
Автор ответа:
0
щас в 1ом ответ скажу
Автор ответа:
0
там десят. дроб не получится.
Похожие вопросы
Предмет: Алгебра,
автор: sobakazabiyaka
Предмет: Физика,
автор: Аноним
Предмет: Алгебра,
автор: rrrrffasdddgg
Предмет: История,
автор: abrameva1
Предмет: Математика,
автор: Аноним