Предмет: Алгебра,
автор: SNK116
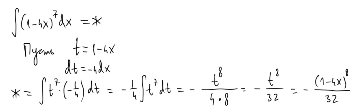
Вычислите интеграл (1-4x)^7dx
Ответы
Автор ответа:
0
Решение на картинке.
Приложения:
Похожие вопросы
Предмет: Русский язык,
автор: Аноним
Предмет: Геометрия,
автор: znanija22228
Предмет: Математика,
автор: dasha4358
Предмет: Биология,
автор: Tonkin
Предмет: Биология,
автор: moremen69