Предмет: Алгебра,
автор: fameyo
Пожалуйста помогите!!!
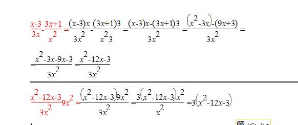
1)
2) То что получится умножить на
Спасибоо
Ответы
Автор ответа:
0
======================================================
Приложения:
Похожие вопросы
Предмет: Экономика,
автор: benzarayob
Предмет: Математика,
автор: aisheilyas
Предмет: Русский язык,
автор: elnarai2006
Предмет: Алгебра,
автор: Барсучонок