Предмет: Физика,
автор: osmanov62
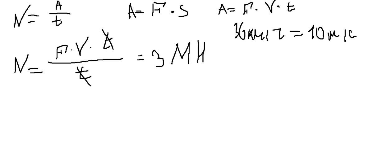
максимальная сила тяги электровоза при движении с постоянной скоростью 36 км/ч равна 300 000 Н. Чему равна мощность двигателей электровоза?
Ответы
Автор ответа:
0
,,,,,,,,,,,,,,,,,,,,,,,,,,,,,,,,,,,,
Приложения:
Похожие вопросы
Предмет: Математика,
автор: avadasha78643
Предмет: Математика,
автор: Аноним
Предмет: Математика,
автор: Аноним
Предмет: География,
автор: VeeN
Предмет: История,
автор: Swaggye