Предмет: Алгебра,
автор: KatyaDrowned
ПОМОГИТЕ ПОЖАЛУЙСТА,УМОЛЯЮO:-)O:-)O:-)ЗАРАНЕЕ ОГРОМНОЕ ЗБАЗИБО;-)
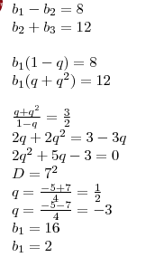
разность между первым и вторым членами убывающей геометрической прогрессии равна 8, а сумма второго и третьего ее членов- 12. Найдите сумму первых четырех членов.
Ответы
Автор ответа:
0
вот..........................................................
Приложения:
Похожие вопросы
Предмет: География,
автор: h3te
Предмет: Математика,
автор: tzusupov5
Предмет: Математика,
автор: Jizimin
Предмет: Алгебра,
автор: nurhatamangaliev
Предмет: Алгебра,
автор: jutal