Предмет: Геометрия,
автор: Аноним
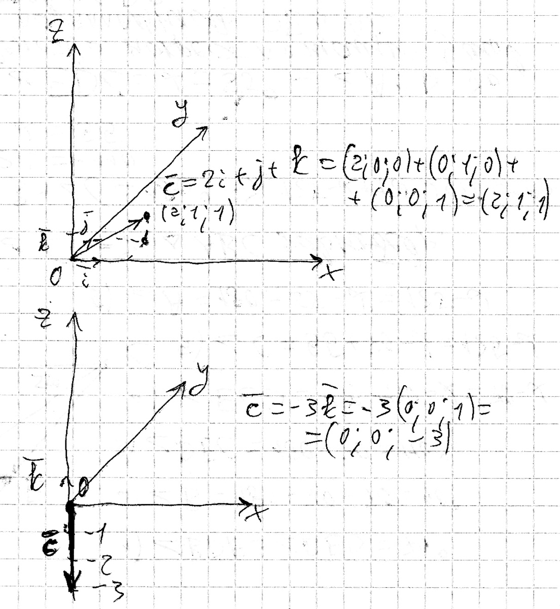
В прямоугольной системе координат постройте вектор с началом в начале координат:
а) 2i+j+k
б) -3k
Ответы
Автор ответа:
0
Решение в файле. Будут вопросы, спрашивайте ))
Приложения:
Автор ответа:
0
Вектор будет, когда вы из О его проведете в точку (2;1;1) со стрелкой ))
Автор ответа:
0
у меня получилось : точка (2;1;1) вышла на оси Оу 1 - это правильно, и следовательно вектор получился из О к 1 (1 по оси Оу) так?
Автор ответа:
0
Нет, не так
Автор ответа:
0
а где должен оказаться вектор?
Автор ответа:
0
Вектор исходит из точки О и приходит в точку (2;1;1)
Похожие вопросы
Предмет: Физика,
автор: alenafeoktistova1230
Предмет: Русский язык,
автор: proshyvasPOMOGITE
Предмет: Русский язык,
автор: 20090210
Предмет: История,
автор: VilkaLike
Предмет: Математика,
автор: linyavka