Предмет: Математика,
автор: Nata75
помогите, пожалуйста, решить уравнение
Приложения:
Ответы
Автор ответа:
0
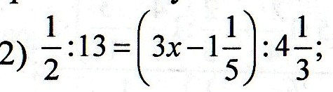
1/2:13=(3х-1 1/5):4 1/3 (по свойству пропорции)
13(3х-1 1/5)=1/2*4 1/3
39х-78/5=13/6
39х=13/6+78/5
39х=533/30
х=533/30:39
х=41/90
Похожие вопросы
Предмет: Қазақ тiлi,
автор: alimbetovanazym
Предмет: История,
автор: marina4481
Предмет: Биология,
автор: Аноним
Предмет: Математика,
автор: natulichka
Предмет: Алгебра,
автор: makc01031996