Предмет: Алгебра,
автор: nikityk18
Обьясните пожалуйста как решать,буду благодарна.
Приложения:
Ответы
Автор ответа:
0
Решение
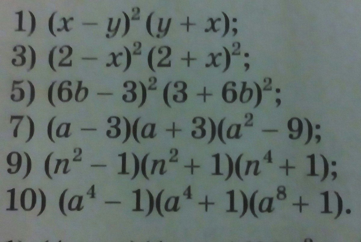
Во всех примерах применяем формулу разности квадратов:
a² - b² = (a - b)(a + b)
1) (x - y)²(y + x) = [(x - y)(x + y)]*(x - y) = (x² - y²)(x - y)
3) (2 - x)²(2 + x)² = [(2 - x)(2 + x)]² = (4 - x²)²
5) (6b - 3)²(3 + 6b)² = [((6b - 3)(6b + 3)]² = (36b² - 9)²
7) (a - 3)(a + 3)(a² - 9) = [(a - 3)(a + 3)](a² - 9) = (a² - 9)(a² - 9) = (a² - 9)²
9) (n² - 1)(n² + 1)(n⁴ + 1) = [(n² - 1)(n² + 1)](n⁴ + 1) = (n⁴ - 1)(n⁴ + 1) = n⁸ - 1
10) (a⁴ - 1)(a⁴ + 1)(a⁸ + 1) = [(a⁴ - 1)(a⁴ + 1)](a⁸ + 1) = (a⁸ - 1)(a⁸ + 1) = a¹⁶ - 1
Во всех примерах применяем формулу разности квадратов:
a² - b² = (a - b)(a + b)
1) (x - y)²(y + x) = [(x - y)(x + y)]*(x - y) = (x² - y²)(x - y)
3) (2 - x)²(2 + x)² = [(2 - x)(2 + x)]² = (4 - x²)²
5) (6b - 3)²(3 + 6b)² = [((6b - 3)(6b + 3)]² = (36b² - 9)²
7) (a - 3)(a + 3)(a² - 9) = [(a - 3)(a + 3)](a² - 9) = (a² - 9)(a² - 9) = (a² - 9)²
9) (n² - 1)(n² + 1)(n⁴ + 1) = [(n² - 1)(n² + 1)](n⁴ + 1) = (n⁴ - 1)(n⁴ + 1) = n⁸ - 1
10) (a⁴ - 1)(a⁴ + 1)(a⁸ + 1) = [(a⁴ - 1)(a⁴ + 1)](a⁸ + 1) = (a⁸ - 1)(a⁸ + 1) = a¹⁶ - 1
Автор ответа:
0
спасибо
Похожие вопросы
Предмет: Литература,
автор: umsbeline35893
Предмет: Физика,
автор: rawittetah9387
Предмет: Алгебра,
автор: AverageBoomer
Предмет: География,
автор: ЗлОдЕйКааа
Предмет: Обществознание,
автор: КолянФ