Предмет: Математика,
автор: marimatiz
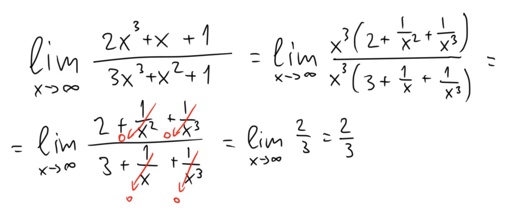
50 баллов! Срочно помогите плиз!! Найдите пределы функций: lim стремится к бесконечности, 2x^3+x+1/3x^3+x^2+1
Ответы
Автор ответа:
0
Решение на картинке.
Приложения:
Похожие вопросы
Предмет: Психология,
автор: cupkasura
Предмет: История,
автор: maximpanas22
Предмет: Русский язык,
автор: sharifik87
Предмет: История,
автор: Doly98
Предмет: Алгебра,
автор: irishkairinka