Предмет: Физика,
автор: Nourta
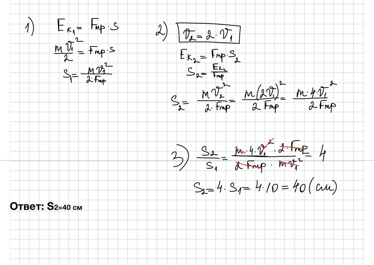
Пуля, летящая с некоторой скоростью , углубляется в дощатый барьер на глубину 10см.
На сколько углубится в этот же барьер пуля, имеющая вдвое большую скорость, если сила сопротивления неизменна? ( Ответ в см )
Желательно с Дано.
Ответы
Автор ответа:
0
Решение во вложении .............................
Приложения:
Автор ответа:
0
Еще раз?)
Автор ответа:
0
Вижу)
Автор ответа:
0
Не мог бы дано написать?)
Автор ответа:
0
Дано: S1=10 см
Автор ответа:
0
Спасибо, посмотри я еще одну задачу выложила, заранее спасибо)
Похожие вопросы
Предмет: Алгебра,
автор: AmgelinaMaeva
Предмет: Химия,
автор: wika09antykalo
Предмет: Математика,
автор: vladgutsu73
Предмет: Химия,
автор: jenjan
Предмет: География,
автор: арти855555