Предмет: Алгебра, автор: удув

вот.упростите  выражения.очень нужно

Приложения:

Ответы

Автор ответа: Artem112
0

второй пример я не понял то ли минусы там то ли еще что...

Приложения:
Автор ответа: rustakc
0

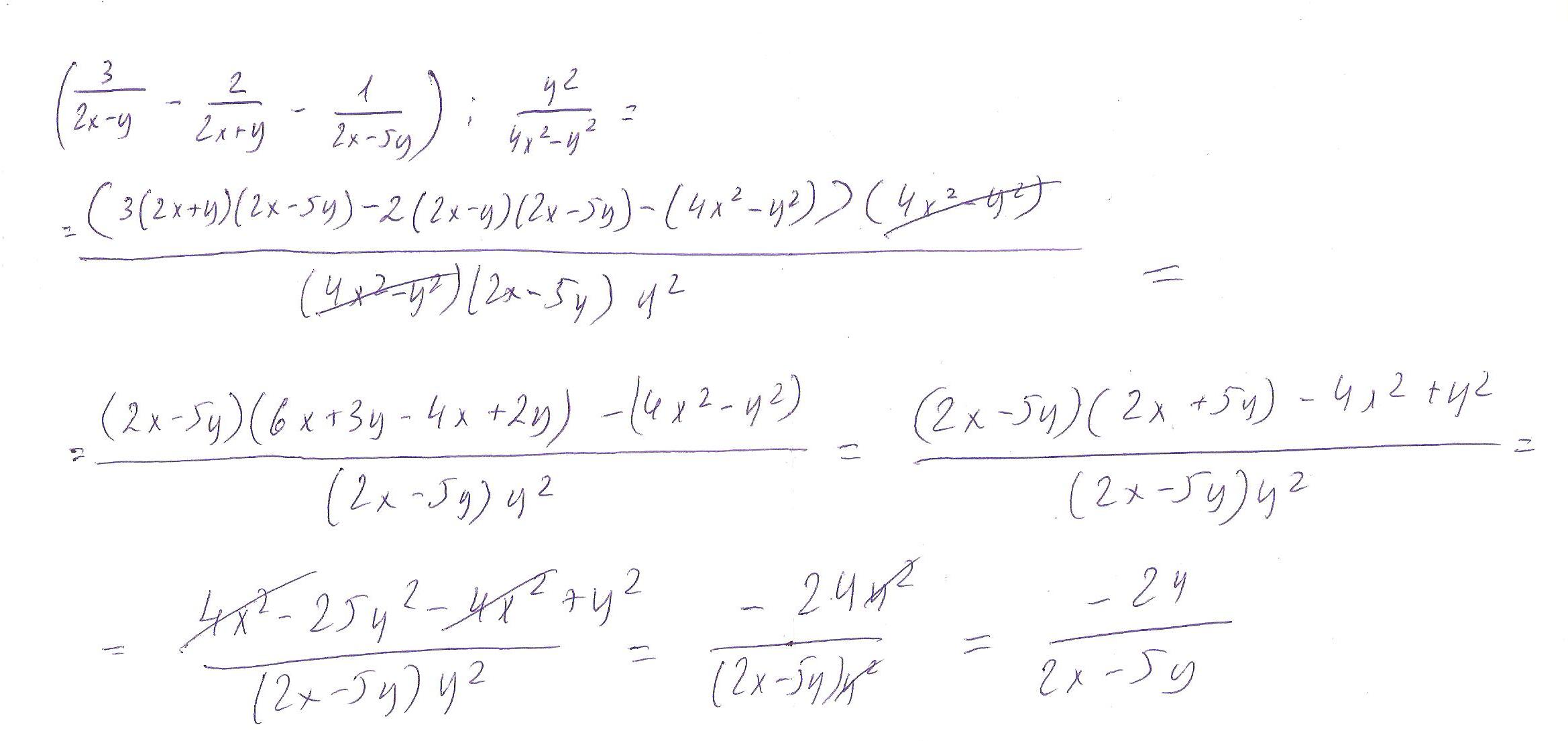
2) Во-первых, решим то, что в скобках:

frac{3}{2x-y}-frac{2}{2x+y}-frac{1}{2x-5y}=frac{6x+3y-4x+2y}{(2x-y)(2x+y)}-frac{1}{2x-5y}==frac{2x+5y}{(2x-y)(2x+y)}-frac{1}{2x-5y}=frac{2x+5y}{4x^{2}-y^{2}}-frac{1}{2x-5y}=frac{(2x+5y)(2x-5y)-(4x^{2}-y^{2})}{(4x^{2}-y^{2})(2x-5y)}=frac{(4x^{2}-25y^{2}-4x^{2}+y^{2})}{(4x^{2}-y^{2})(2x-5y)}=frac{-24y^{2}}{(4x^{2}-y^{2})(2x-5y)}

frac{frac{-24y^{2}}{(4x^{2}-y^{2})(2x-5y)}}{frac{y^{2}}{4x^{2}-y^{2}}}=frac{-24y^{2}(4x^{2}-y^{2})}{(4x^{2}-y^{2})(2x-5y)y}=-frac{24y^{2}}{(2x-5y)y}=-frac{24y}{2x-5y}

Приложения:
Похожие вопросы
Предмет: Русский язык, автор: Аноним
Предмет: Английский язык, автор: zteb9146
Предмет: Математика, автор: erzanovvadik
Предмет: Химия, автор: Ренатка7