Предмет: Физика,
автор: z0nG
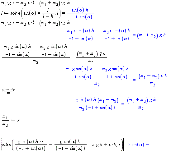
Два шарика разной массы подвешены на нитях одинаковой длины в одной точке. Нити отводят в горизонтальное положение и отпускают. После неупругого удара шариков нити отклонились от вертикали на угол a. Чему равно отношение масс шариков m1/m2?
Ответы
Автор ответа:
0
вот здесь решение во вложении!
Приложения:
Похожие вопросы
Предмет: Алгебра,
автор: yanabulavkina
Предмет: История,
автор: aitmukhanamira
Предмет: Математика,
автор: feelix83
Предмет: Физика,
автор: Аноним
Предмет: Математика,
автор: аленаw