Предмет: Алгебра,
автор: Танечка25
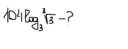
помогите решить логарифм и объясните решение
Приложения:
Ответы
Автор ответа:
0
корень восьмой степени из 3 = 3 в степени 1/8.
по свойству логарифма 1/8 мы выносим за логарифм.
104:8=13
log 3 по основанию 3 = 1
Ответ: 13.
Похожие вопросы
Предмет: Математика,
автор: maksimsavchenko21
Предмет: Английский язык,
автор: Аноним
Предмет: Другие предметы,
автор: ainaraengelsova
Предмет: Математика,
автор: dasha00000