Предмет: Алгебра,
автор: artemzhandin
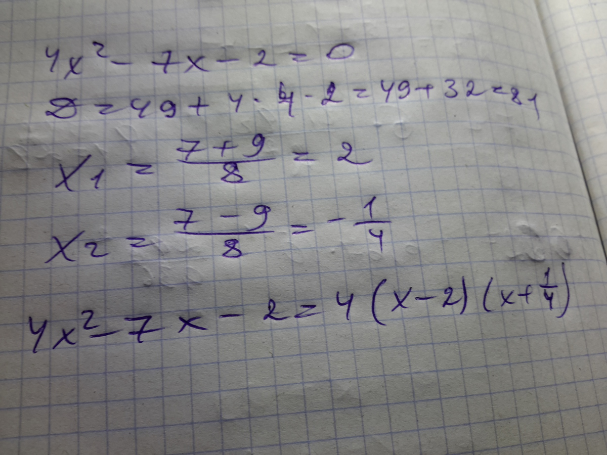
Разложите на множители квадратный трёхчлен 4x^2-7x-2
Ответы
Автор ответа:
0
Вот и твоя задачка решена
Приложения:
Автор ответа:
0
спс
Автор ответа:
0
Приложения:
Похожие вопросы
Предмет: Қазақ тiлi,
автор: olegamulet
Предмет: Математика,
автор: asanova45
Предмет: Математика,
автор: Аноним
Предмет: Физика,
автор: khripunov99
Предмет: Алгебра,
автор: SyuzannaMMS