Предмет: Математика,
автор: irka424
помогите пожалуйста с заданием номер 4
Приложения:
Ответы
Автор ответа:
0
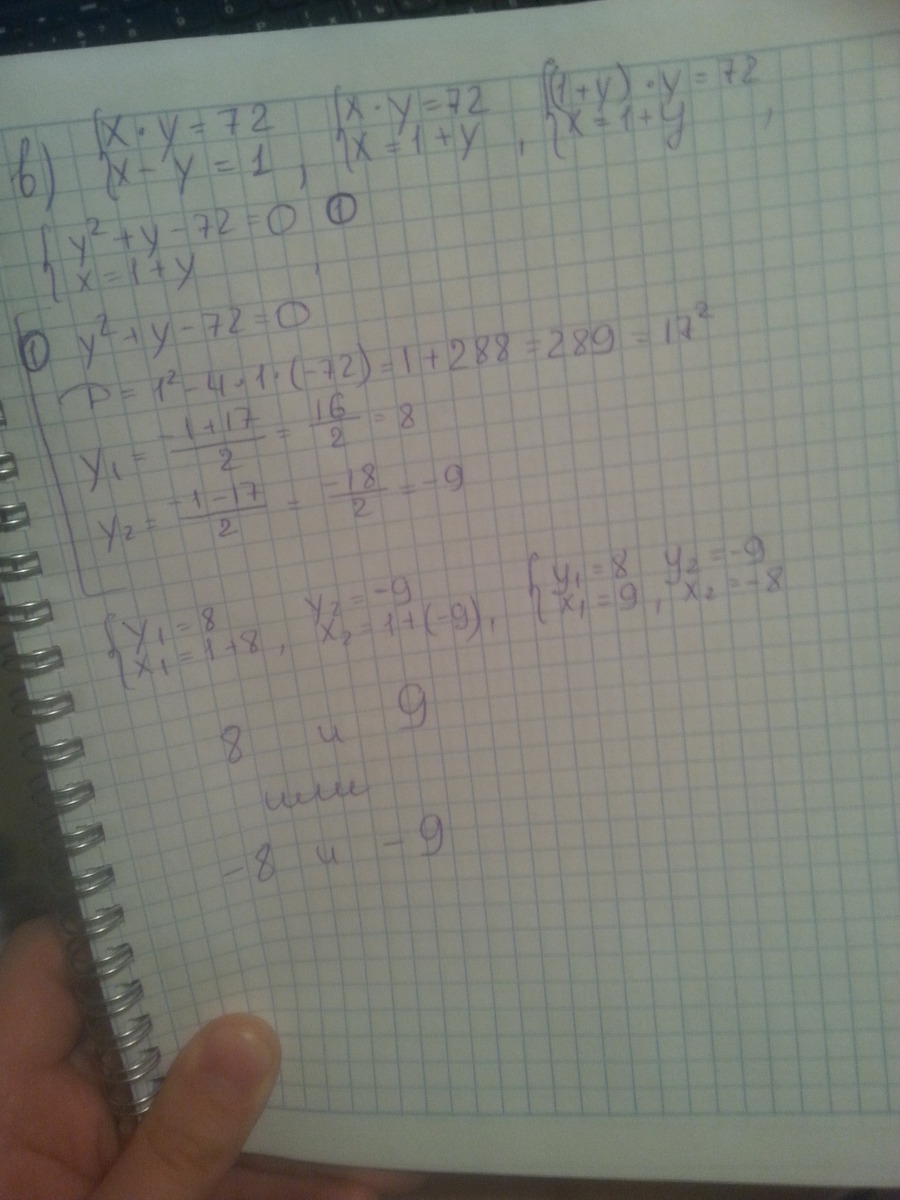
пожалуйста ;)
надеюсь, на фото всё видно
надеюсь, на фото всё видно
Приложения:
Похожие вопросы
Предмет: География,
автор: nadezda61
Предмет: Русский язык,
автор: shartuov1973
Предмет: Алгебра,
автор: Girl395
Предмет: Физика,
автор: Аноним
Предмет: Биология,
автор: kirilboy2013