Предмет: Алгебра,
автор: marinafedoseeva
Помогите решить пожалуйста:)
Приложения:
Ответы
Автор ответа:
0
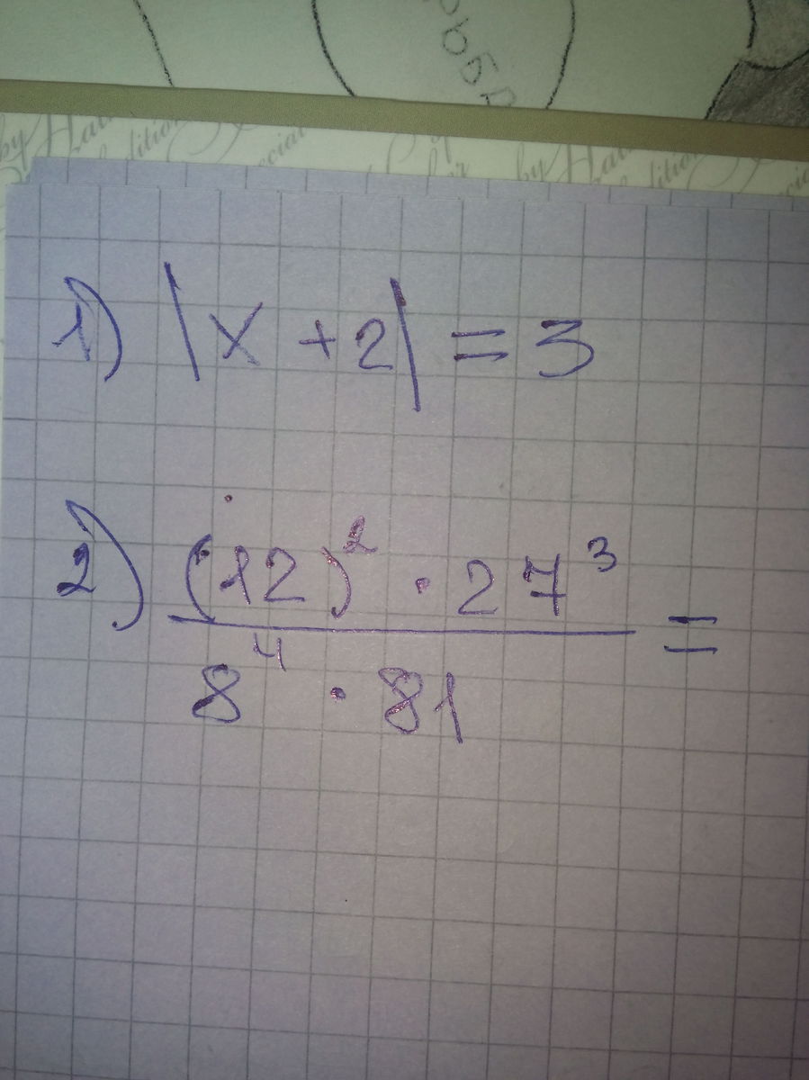
1) х+2=3
х=3-2
х=1
2)3/256
х=3-2
х=1
2)3/256
Автор ответа:
0
Спасибо)
Автор ответа:
0
незачто
Автор ответа:
0
1) Найден только один корень.Решают так: необходимо вначале определить нуль модуля, то есть под модульное выражение приравнять к нулю:
х+2=0, х=-2.
если х>-2, то х+2=3, х1=3-2=1.
если х<-2, то х+2=-3, х2= -3-2=-5.
Ответ: -5; 1.
2) (12^2·27^3)/(8^4·81)/
Необходимо будет все множители подать в виде степеней с основаниями 2 и 3.
12^2=(2^2)·(3^1);
27^3=(3^3)^3=3^9;
8^4=(2^3)^4=2^12;
81=3^4.
Подставив эти результаты в дробное выражение и произведя сокращение, получим (3^6)/(2^10).
Ответ: (3^6)/(2^10).
х+2=0, х=-2.
если х>-2, то х+2=3, х1=3-2=1.
если х<-2, то х+2=-3, х2= -3-2=-5.
Ответ: -5; 1.
2) (12^2·27^3)/(8^4·81)/
Необходимо будет все множители подать в виде степеней с основаниями 2 и 3.
12^2=(2^2)·(3^1);
27^3=(3^3)^3=3^9;
8^4=(2^3)^4=2^12;
81=3^4.
Подставив эти результаты в дробное выражение и произведя сокращение, получим (3^6)/(2^10).
Ответ: (3^6)/(2^10).
Автор ответа:
0
Спасибо большое:)
Похожие вопросы
Предмет: Английский язык,
автор: trimlzgo
Предмет: Информатика,
автор: Аноним
Предмет: Математика,
автор: ibrahimnikishin
Предмет: Математика,
автор: Витт
Предмет: География,
автор: сватилб