Предмет: Математика,
автор: 789561
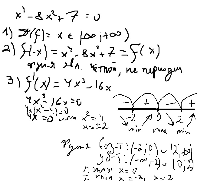
Исследовать функцию и построить график: y=x^4-8x^2+7
Ответы
Автор ответа:
0
============ Всё написал. =========
Приложения:
Похожие вопросы
Предмет: Биология,
автор: plubko2
Предмет: Қазақ тiлi,
автор: sveta090609
Предмет: Українська мова,
автор: Dennieasy
Предмет: Математика,
автор: artem4ic2011