Предмет: Алгебра,
автор: moiseenkonasta
Ответы
Автор ответа:
0
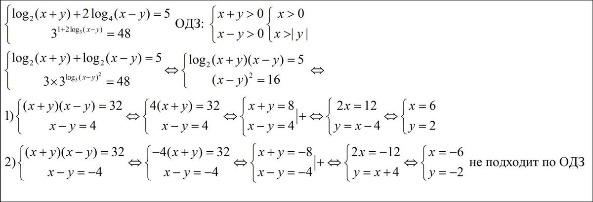
РЕШЕНИЕ СМОТРИ ВО ВЛОЖЕНИИ
Приложения:
Похожие вопросы
Предмет: Русский язык,
автор: danieldex
Предмет: Биология,
автор: tima29792
Предмет: Қазақ тiлi,
автор: omiralimuhame3
Предмет: Физика,
автор: Аноним
Предмет: Алгебра,
автор: frostgan