Предмет: Алгебра, автор: marinafedoseeva

Помогите решить пожалуйста!

Приложения:

Ответы

Автор ответа: XXX96
0
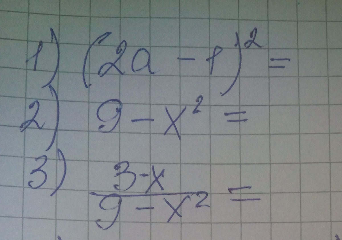
(2a-1)^2=(2a)^2-2*2a+1^2=4a^2-4a+1\9-x^2=3^2-x^2=(3-x)(3+x)\\ frac{3-x}{9-x^2}= frac{3-x}{(3-x)(3+x)}= frac{1}{3+x}
Автор ответа: marinafedoseeva
0
Спасибо большое:)
Автор ответа: vstoyijkova11
0
Во вложении................................................
Приложения:
Автор ответа: marinafedoseeva
0
Спасибо:)
Похожие вопросы