Предмет: Математика,
автор: savelyevstas
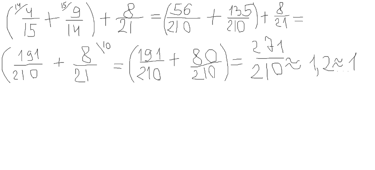
сложите дроби выделите целую часть плиз срочно а)4/15+9/14+8/21= б)1целая 7/15+ 2цел 11/36+6/35= в)2ц 13/20+3ц 7/8= г)3/4+2/7+3/10+1/4+7/10+3/7= д)5/18+3/20+1/18+17/20 заранее спасибо плиз с решением
Ответы
Автор ответа:
0
Только там где я округлила не то, целая часть как по заданию, например в г)- 2 а не 3
Приложения:
Автор ответа:
0
ладно
Автор ответа:
0
Это неверый ответ
Похожие вопросы
Предмет: Английский язык,
автор: Аноним
Предмет: Математика,
автор: Saidjon223
Предмет: Биология,
автор: bizon06081986
Предмет: Математика,
автор: про100Slap
Предмет: Математика,
автор: ramilhakimov78