Предмет: Алгебра,
автор: ireena
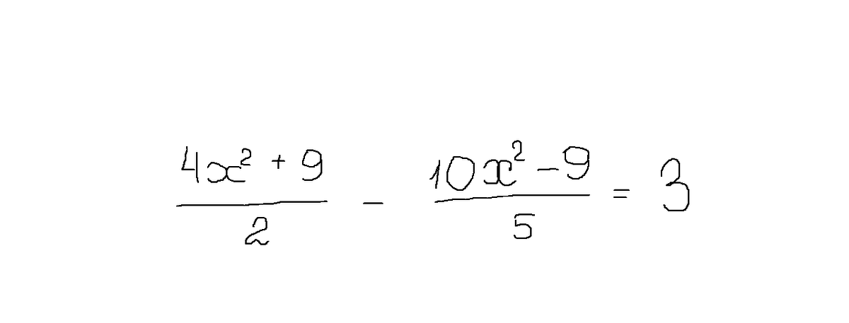
Решить уравнение.Срочно. Пожалуйста, нужно подробное решение.
Приложения:
Ответы
Автор ответа:
0
Приведем к общему знаменателю. Это 10. Значим, домножим первую дробь на 5, вторую на 2 и 3 - на 10
Получим дробь у которой в знаменателе 10, а в чмслителе
20x²+45-20x²+18=30
20x² сократится
Останется 63=40
Ответ: нет решений
Получим дробь у которой в знаменателе 10, а в чмслителе
20x²+45-20x²+18=30
20x² сократится
Останется 63=40
Ответ: нет решений
Автор ответа:
0
= (20x^2+45-20x^2-18-30)/10= сокращаем =-3
Похожие вопросы
Предмет: Математика,
автор: ayubxozauldoshov
Предмет: Математика,
автор: aidosvector
Предмет: Русский язык,
автор: Leragladkih878
Предмет: Математика,
автор: slyudmila